티스토리 뷰
목차
수능 물리1 개념 정리 전략 – 전체 흐름과 접근법
수능 물리1은 과학탐구 선택 과목 중에서도 많은 수험생이 부담을 느끼는 과목 중 하나입니다. 수식과 개념이 정확히 연결되지 않으면 해석조차 어려운 문제들이 등장하기 때문입니다. 하지만 반대로 생각하면, 물리1은 명확한 개념과 공식을 정리해두면 응용력만 갖추어도 고득점이 가능한 구조화된 과목입니다. 따라서 이 글에서는 수능 물리1의 전 범위를 핵심 단원별로 나누어 한 번에 정리할 수 있는 개념요약 전략을 소개합니다.
수능 물리1은 일반적으로 ① 운동과 역학, ② 역학적 에너지, ③ 파동, ④ 전자기, ⑤ 현대 물리의 5개 단원으로 구성되어 있습니다. 각각의 단원은 고유의 개념과 공식들이 있으며, 단원 간 연결보다는 단원 내부 이해도와 응용이 더 중요합니다. 특히 단순 암기가 아니라 현상을 해석하는 물리적 직관력과 수식을 해석하는 능력이 함께 필요하기 때문에, 단원별 핵심 개념과 공식의 관계를 ‘이해-요약-암기’의 순서로 접근하는 것이 효과적입니다.
많은 수험생들이 실수하는 부분은 공식을 외우기만 하고, 그것이 무엇을 의미하는지 해석하지 못하는 것입니다. 예를 들어 가속도의 정의인

를 외우더라도, 이 공식이 실제로 ‘속도의 변화량이 시간당 얼마나 일어나는가’를 나타낸다는 물리적 의미를 모르면 문제에서 어떤 상황에 적용할지 판단이 어렵습니다. 이처럼 물리는 공식보다 먼저 현상의 의미와 그 공식이 왜 등장했는지를 이해하는 공부법이 우선되어야 합니다.
또한 물리1은 계산이 들어가는 문제도 많지만, 최근 수능 기조는 그래프 해석, 상황 판단, 개념 응용 중심의 문제가 다수 출제되고 있습니다.
이는 단순히 공식 대입이 아니라, 문제를 보고 어떤 원리나 개념이 숨어 있는지를 파악하는 능력을 평가하는 방식입니다. 따라서 기출문제를 풀 때도 단순 정답 확인이 아니라, “이 문제는 어떤 개념을 묻고 있나?”라는 관점에서 문제를 복기하는 훈련이 반드시 필요합니다.
정리하자면, 수능 물리1을 고득점으로 마무리하기 위해선
① 개념을 맥락 중심으로 정리하고
② 공식을 단순 암기에서 벗어나 의미와 연관지어 이해하고
③ 각 단원의 대표 예제를 통해 적용 훈련을 반복하며
④ 최근 수능 유형과 연결된 문제풀이 흐름을 파악해야 합니다.



운동과 힘 단원 요약 – 등가속도, 뉴턴의 법칙, 힘의 합성 등
수능 물리1에서 운동과 힘 단원은 출제 비중이 매우 높은 핵심 영역입니다. 이 단원은 물리학의 시작이자 기초이기 때문에, 이후 단원들의 이해도에도 큰 영향을 미치게 됩니다. 핵심 개념은 크게 세 가지로 나눌 수 있습니다: 등가속도 운동 공식, 뉴턴의 운동 법칙, 그리고 힘의 합성과 평형입니다. 이 세 영역을 정확히 이해하고 공식과 그래프 해석까지 연결해두면, 실제 수능에서 어떤 문제 유형이든 안정적으로 점수를 획득할 수 있습니다.
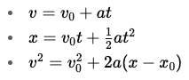
우선, 등가속도 운동은 고등 물리에서 가장 자주 등장하는 기본 운동 형태입니다. 주요 공식은 아래와 같습니다:

이 공식들은 단순히 외우는 것이 아니라, 변수들의 관계를 정확히 해석하는 능력이 중요합니다. 예를 들어

+at는 시간에 따라 속도가 선형적으로 증가하거나 감소함을 나타내며, 이 관계는 그래프에서도 속도-시간 그래프가 직선 형태로 나타난다는 것을 의미합니다. 많은 수험생이 공식을 외우고도, 문제에서 그래프를 해석하거나 방향성을 추론하지 못해 실수합니다. 따라서 각 공식이 어떤 상황에서 유도되었는지, 어떤 물리량의 관계를 표현하는지를 충분히 이해해야 합니다.
다음은 뉴턴의 운동 법칙, 즉 제1법칙(관성), 제2법칙(𝐹=𝑚𝑎), 제3법칙(작용-반작용)입니다. 이 중 가장 중요한 것은 제2법칙이며, 힘과 가속도의 관계를 수식화한 기본 원리입니다. 실제 수능에서는 다양한 힘이 작용할 때 물체의 가속도를 묻는 문제가 자주 출제되며, 힘의 방향과 크기, 질량의 관계를 정확히 해석할 수 있어야 합니다. 특히 수평면과 경사면, 줄에 매달린 물체 등에서의 힘의 합성 문제는 빈출 유형이며, 자유물체도(FBD: Free Body Diagram)를 그리고 시작하는 습관이 매우 중요합니다.
힘의 합성과 평형 조건도 자주 출제되는 개념입니다. 여러 개의 힘이 작용할 때, 물체가 정지해 있다면 그 힘들의 합력은 0이 되어야 하며, 이를 힘의 평형이라 합니다. 문제에서는 종종 수직·수평 성분으로 나누어 합성하거나, 주어진 조건에서 알 수 없는 힘을 구하는 문제가 출제됩니다. 따라서 삼각형 법칙, 평행사변형 법칙 등을 통한 벡터 합성법을 충분히 숙지하고 있어야 하며, 단순히 숫자를 계산하는 것이 아니라 방향까지 고려해 물리적 상황을 분석하는 능력이 필요합니다.
이 단원에서는 특히 그래프 해석 문제가 자주 등장합니다. 예를 들어 시간에 따른 속도 변화 그래프에서 가속도를, 속도-시간 그래프에서 이동 거리(면적)를 구하는 문제는 기본 중의 기본입니다. 수험생은 각 물리량의 정의, 단위, 변화량의 의미를 충분히 숙지하고 있어야 하며, 그래프의 기울기와 면적이 각각 어떤 물리량을 나타내는지에 대한 직관을 갖추는 것이 중요합니다.
결론적으로, 운동과 힘 단원은 공식 암기를 넘어서 ‘현상을 수식으로 해석하고, 수식을 현상으로 바꿔 이해하는’ 연습이 핵심입니다. 이를 위해 기출문제의 풀이과정을 다시 풀어보며 공식의 의미를 적용하는 루틴 학습이 가장 효과적입니다.
에너지와 역학적 보존 법칙 – 운동에너지, 위치에너지, 일, 역학적 에너지 보존
수능 물리1에서 역학적 에너지 단원은 운동과 힘 단원과 밀접하게 연결되어 있으며, 에너지라는 스칼라적 물리량을 통해 운동 상태를 분석하는 데 매우 유용합니다. 이 단원의 핵심은 크게 네 가지 개념으로 정리할 수 있습니다: 일(work), 운동에너지(kinetic energy), 위치에너지(potential energy), 그리고 역학적 에너지 보존 법칙입니다. 이 개념들은 단순히 개별적으로 외우기보다는 하나의 흐름으로 엮어서 이해하는 방식이 가장 효과적입니다.
우선 ‘일(Work)’이란 물체에 힘이 작용하여 이동이 일어날 때, 그 힘이 물체에 전달한 에너지의 양을 의미합니다. 공식은 다음과 같습니다
- W=F⋅d⋅cosθ
여기서 F는 힘, d는 이동 거리, θ는 힘과 이동 방향 사이의 각도입니다.
특히 θ 값이 0도일 경우는 정방향 일, 90도는 일하지 않음, 180도는 반대방향 일(에너지 감소)로 해석됩니다. 많은 수험생이 여기서 θ의 물리적 의미를 혼동하므로, 반드시 ‘힘의 방향과 운동 방향이 일치해야 양의 일’이라는 개념을 이해해야 합니다.
다음은 운동에너지(KE)와 위치에너지(PE)입니다.

운동에너지는 물체가 움직일 때 갖는 에너지로, 속도에 비례하며 질량이 클수록 더 많은 에너지를 가집니다. 위치에너지는 높이에 따라 달라지며, 중력의 영향을 받는 위치에서 얼마나 높은 곳에 있느냐에 따라 저장된 에너지라고 볼 수 있습니다. 수능에서는 운동에너지는 수평 운동에서, 위치에너지는 수직 운동 또는 낙하 상황에서 자주 출제됩니다.
역학적 에너지 보존 법칙은 가장 중요한 개념입니다. 이는 마찰과 같은 비보존력이 작용하지 않는 이상적인 상황에서, 운동에너지 + 위치에너지의 총합은 항상 일정하다는 원리입니다. 수식은 다음과 같습니다:
- E=KE+PE=const
즉, 어떤 물체가 높은 곳에서 낙하할 경우, 위치에너지가 감소하는 만큼 운동에너지가 증가하고, 이 둘의 합은 변하지 않습니다. 이 원리는 위에서 떨어지는 물체, 포물선 운동, 진자 운동 등 다양한 운동의 에너지 변화 해석에 적용됩니다. 중요한 건, 운동 상태에 따라 에너지가 변할 뿐, 총합은 일정하다는 원리를 문제에 맞춰 자유자재로 해석할 수 있어야 합니다.
수능에서는 이 단원에서 에너지 보존을 이용한 문제 풀이, 그래프 해석, 에너지 변화량 계산 문제가 자주 출제됩니다. 예를 들어, 높이 변화에 따른 속도 변화, 특정 지점에서의 속력 비교, 에너지를 기준으로 한 운동 상태 추론 등 다양한 방식으로 응용됩니다. 따라서 단순 공식 암기보다는 여러 상황에서 에너지 흐름을 시각화하여 추론하는 연습이 중요합니다.
특히 최근 출제 경향에서는 마찰이 있는 상황, 또는 역학적 에너지가 보존되지 않는 사례(예: 낙하 후 충돌)에서 손실된 에너지를 문제화하는 경우가 많습니다. 이때는 보존법칙을 그대로 적용할 수 없고, 에너지 변화량을 따로 계산해야 하므로, 문제 조건을 꼼꼼히 읽고 보존 조건을 판단하는 능력이 요구됩니다.
결론적으로, 이 단원은 수식 간 관계를 구조화하고, 물리적 직관과 그래프 해석력을 동시에 훈련하는 전략이 가장 효과적입니다.



파동과 전자기 – 파동의 성질, 간섭, 렌즈, 전류, 자기장, 전자기유도
수능 물리1의 파동과 전자기 단원은 개념이 많고 공식도 다양하게 등장하기 때문에, 암기와 응용이 동시에 필요한 고난도 영역입니다. 특히 이 단원은 물리적 직관보다는 정확한 정의와 규칙을 기반으로 문제를 해석해야 하며, 헷갈리는 개념이 많은 만큼 개념 정리를 철저히 하는 것이 중요합니다. 출제 비중도 적지 않아서, 이 단원의 완성도가 전체 점수를 결정짓는 변수가 되기도 합니다.
먼저 파동의 기본 개념부터 짚고 넘어가야 합니다. 파동은 에너지의 전달 방식이며, 크게 횡파(진동 방향 ⟂ 진행 방향)와 종파(진동 방향 ‖ 진행 방향)로 나뉘죠. 대표적인 횡파는 빛이나 줄의 파동, 종파는 소리입니다. 주요 개념으로는 진폭(에너지 세기), 파장(한 주기의 길이), 주기와 진동수(시간과 반복 횟수), 속력(진행 속도) 등이 있으며, 이들 간 관계식은 아래와 같습니다:
- v=λf
(속력 = 파장 × 진동수)
수능에서는 이 공식을 이용하여 파동이 전파되는 속도, 매질에 따른 변화, 간섭 현상 해석 문제들이 자주 출제됩니다. 특히 정지파, 반사파, 굴절, 간섭, 공명 조건 등은 매년 반복적으로 등장하는 키워드입니다. 공명 조건(λ = 2L/n 또는 L = nλ/2)은 막대, 관 등에서 파형과 주파수를 계산하는 데 쓰이며, 음파 실험 상황에서 자주 활용됩니다.
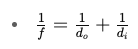
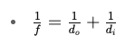
이어서 렌즈와 빛의 굴절 개념도 자주 등장합니다. 렌즈 공식은 아래와 같습니다:

여기서 f는 초점거리, 𝑑𝑜는 물체와 렌즈 사이의 거리, 𝑑𝑖는 상과 렌즈 사이 거리입니다. 볼록렌즈/오목렌즈의 특성, 실상/허상 판별, 상의 크기와 방향 판단 등의 응용 문제가 자주 나오기 때문에, 렌즈 도식과 공식 해석을 병행한 시각적 학습이 매우 중요합니다.
전자기 영역으로 넘어가면, 전류, 자기장, 전자기 유도 등이 핵심입니다. 전류는 전자의 흐름이며, 방향은 전자의 반대 방향으로 정의됩니다. 전류가 흐를 때 자기장이 생기며, 이 자기장은 오른손 법칙으로 방향을 판단합니다. 전선 주위에 생기는 원형 자기장, 직선 전류 사이에 작용하는 힘, 코일 내 자기장 세기 등은 모두 오른손의 네 방향을 활용해 추론할 수 있어야 하죠.
전자기 유도에서는 패러데이 법칙과 렌츠의 법칙이 핵심입니다:
- 전자기 유도는 자기장이 변할 때 전류가 생성되는 현상이며,
- 유도 전류는 자기장의 변화 방향을 방해하는 방향으로 흐릅니다 (렌츠의 법칙).
공식:

(기전력 = -코일수 × 자속 변화율)
이 부분은 자기장의 증가/감소 여부에 따른 유도 전류 방향 판별, 전류가 만들어내는 자기장과 상호작용 등을 이해해야 문제를 해결할 수 있습니다. 특히 자석이 코일에 접근할 때, 멀어질 때 등 조건 변화에 따라 유도 전류의 방향을 판단하는 유형은 반드시 익숙해져야 합니다.
결론적으로 이 단원은 다양한 상황에 따라 공식과 개념을 유기적으로 연결하는 연습이 필수이며, 문제 풀이보다 먼저 개념 간 구조를 정확히 정리하고 오답노트에 시각 자료를 함께 기록하는 학습법이 매우 효과적입니다.
현대 물리 + 마무리 정리 – 원자 구조, 에너지 준위, 핵 반응 등
수능 물리1의 마지막 단원인 현대 물리 파트는 분량은 짧지만 낯선 개념이 많아 수험생에게 혼란을 주는 영역입니다. 이 단원은 20세기 이후 현대 과학의 발전 내용을 바탕으로 한 원자 및 핵 관련 개념으로 구성되어 있으며, 주로 기초 개념, 그래프 해석, 계산보다는 논리적 해석력을 평가하는 문제가 출제됩니다. 때문에 공식 암기보다는 개념을 정확히 이해하고 문제에 적용하는 연습이 더욱 중요합니다.
가장 기본 개념은 원자의 구조와 에너지 준위(전자껍질)입니다. 전자는 원자핵 주위를 돌고 있으며, 각 껍질마다 특정한 에너지 준위를 가집니다. 전자가 낮은 에너지 준위에서 높은 준위로 이동하려면 에너지를 흡수해야 하고, 반대로 높은 준위에서 낮은 준위로 떨어질 때는 빛(광자)을 방출합니다. 수능에서는 이 과정에서 방출되는 빛의 파장이나 에너지를 추론하는 문제가 등장합니다.
- 𝐸=ℎ𝑓
여기서 h는 플랑크 상수, f는 진동수입니다.
또는 파장을 구할 땐 𝑐=𝜆𝑓, 𝐸=ℎ𝑐/𝜆 도 활용됩니다.
이러한 계산 문제보다는 ‘어떤 전이에서 어떤 에너지가 방출되나’, ‘방출된 빛은 어떤 색인가’와 같은 질적 개념 이해 문제가 더 자주 출제됩니다. 특히 수소 원자의 스펙트럼 해석, 준위 간 전이 순서 파악, 빛의 에너지와 전자 전이의 관계는 수능 고정 유형입니다.
이어서 방사성 붕괴와 핵 반응 단원도 중요합니다. 대표 개념은 다음과 같습니다:
- 알파(α), 베타(β), 감마(γ) 붕괴의 특징과 차이
- 질량수 보존과 원자번호 보존 법칙
- 핵분열과 핵융합의 에너지 변화
수능에서는 주어진 붕괴 반응식의 완성, 결합에너지 차이로 인한 방출 에너지 계산, 핵 반응 후의 질량수와 원자번호 변화 추론 문제가 출제됩니다. 계산은 단순하지만 정확한 이해와 법칙 적용 능력이 필요합니다.
이 단원은 전체적인 출제 비중은 낮지만, 문제 유형이 명확하고 반복적이므로 짧은 시간 안에 고득점 확보가 가능한 효자 단원입니다. 따라서 물리1의 학습 마무리 단계에서 이 단원을 정리하는 것은 고정 점수 확보 전략으로 매우 효과적입니다.



수능 물리1, 개념과 흐름 중심의 정리가 고득점 비결
수능 물리1은 수식과 계산이 많아 어렵게 느껴질 수 있지만, 각 단원의 핵심 개념과 공식을 체계적으로 정리하고, 이를 현상과 연결하는 방식으로 접근하면 고득점이 가능한 구조화된 과목입니다. 단순 암기나 문제풀이에 치우치기보다는, 공식의 유도 배경과 적용 조건을 이해하고, 그래프나 실험 상황을 통해 물리적 직관력을 기르는 공부 방식이 실전에서 훨씬 강력한 무기가 됩니다.
각 단원별로 중요한 키워드와 핵심 공식을 정리한 개념 정리 노트, 단원 간 비교표, 기출 문제 분석 오답노트를 만들어 반복 학습하면, 개념 간의 연결이 자연스럽게 형성되고, 실수 없이 안정적인 점수를 만들 수 있습니다. 무엇보다 중요한 것은 수능에 최적화된 문제 풀이 전략과 실전 적응력이며, 이를 위해선 개념 정리와 반복 훈련이 병행되어야 합니다.
지금이 바로 물리1을 전략과 구조로 정리할 때입니다.
시간을 쪼개어 효율적으로 복습하고, 매일 10분씩 핵심 개념과 공식만 반복하는 루틴을 만들면, 수능 날 당황하지 않고 문제를 마주할 수 있습니다.